Anasayfa
English
İletişim
Hızlı Erişim
Akademik Takvim
Anketler
Bilgi Edinme
Bilgi Paketi
Diş Hekimliği Fakültesi Randevu
Etkinlik Talep Formu
NOHU Login
NUBulut
Öğrenci e-posta
Personel e-posta
Telefon Rehberi
Uzaktan Eğitim Sistemi
Yemek Menü
Yemekhane Sanal Pos
NİĞDE ÖMER HALİSDEMİR ÜNİVERSİTESİ
Sosyoloji
İnsan ve Toplum Bilimleri Fakültesi
Bölüm
Genel Bilgi
Bölüm Kurulu
Sayılarla Bölümümüz
Komisyonlar
Akademik Kadro
Anabilim Dalları
Uygulamalı Sosyoloji ABD
Kurumlar Sosyolojisi ABD
Toplumsal Yapı ve Değişme ABD
Sosyometri ABD
Genel Sosyoloji ve Metodoloji ABD
Araştırma
Projeler
Yayınlar
Laboratuvarlar
Öğrenci
Aktif Danışmanlık
Ders Programı
Formlar
Değişim Programları
Öğrenci Kulüpleri
Pedagojik Formasyon
Dersler
Ders Planları
Kısa ders İçerikleri
Yeterlilikler
Beceri ve Yetkinlikler
Eğitim Amaçları
Program Çıktıları
Hedefleri
Not Değerlendirme
GZFT Analizi
Program Çıktı Matrisleri
Kalite
Öz Değerlendirme Raporu
Akran Değerlendirme Raporu
Eylem Planı İzleme Raporu
Aktif Danışmanlık Raporu
Öğrenci İş Yükü Raporu
Diğer Raporlar
Eylem Planı Takvimi
Bölüm Kalite Komisyonu
Bölüm Danışma Kurulu
Komisyon ve Kurul Kararları
Öğrenci Kalite Temsilcileri
Sosyoloji
Duyurular
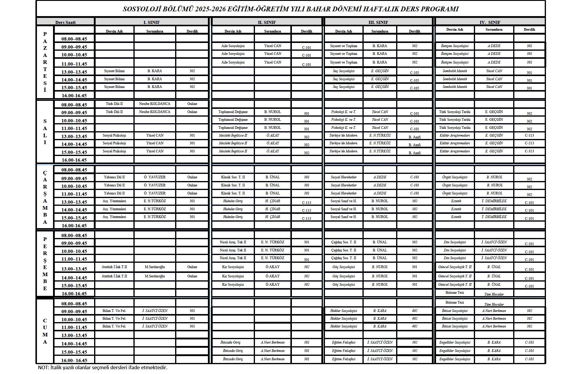
LİSANS 2025-2026 Bahar Dönemi Ders Programı
Duyurular
01.02.2026
Son Güncelleme Tarihi :
06.02.2026